Решённые задачи по высшей математике

Мои дипломная, курсовые и контрольные работы можно скачать со страницы "Учёба"
Вторая контрольная по высшей математике разбита на страницы:
Предел по правилу Лопиталя. Вычисление производных второго порядка
Вычисление неопределённых и определённых интегралов
Решение задачи Коши. Пример
Решение дифференциального уравнения. Сходимость числовых рядов
Область сходимости степенного ряда. Вычисление определённого интеграла
Построение ряда Фурье для 2π-периодической функции
Решённая задача на теорию вероятности

Нахождение общего решения дифференциального уравнения

Найти общее решение дифференциального уравнения.

Дифференциальное уравнение

Решение: Найдём общее решение соответствующего однородного уравнения Дифференциальное уравнение. Характеристическое уравнение Характеристическое уравнение  имеет три корня: Корни характеристического уравнения, , .

 Тогда общее решение однородного уравнения

Общее решение однородного уравнения

Первые члены ряда. Исследование сходимости

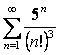
Записать первые четыре члена ряда. Исследовать сходимость числовых рядов.

Пример числового ряда

Решение: Запишем первые 4 члена ряда (n = 1, 2, 3, 4):

Первые члены ряда

Это  знакоположительный  ряд.

Применим признак Д`Аламбера:

Решение сходимости числового ряда

Решение числового ряда

Так как Признак сходимости числового ряда, то ряд сходится


Дальше Область сходимости степенного ряда. Вычисление определённого интеграла

На сайте также есть постранично моя первая контрольная по высшей математике:
Действия в алгебраической, тригонометрической и показательной формах
Извлечение корня, и отображение его значения на комплексной плоскости
Нахождение неизвестной матрицы из уравнения
Решение системы: по формулам Крамера, с помощью обратной матрицы, методом Гаусса
Вычисление векторов, косинуса угла, площади треугольника, объёма пирамиды
Изображение геометрического места точек на плоскости и в пространстве
Вычисление пределов функций